Van
dabang
커뮤 이슈
신기방기 재미있는 수학적 사실들
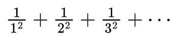
1. 바젤 문제
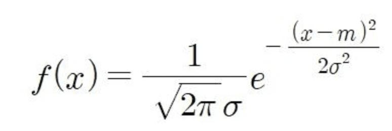
2. 가우스 적분
3. 가브리엘의 나팔
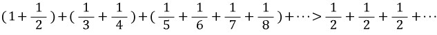
4. 리만 재배열 정리
5. 선택 공리
172
19
메인
목록
댓글 19
다 ㅈ도 쓸모없는거다Pma보고 수포자됨
ㅇㅇ •
가브리엘 나팔 저게 말이 됨???페인트를 꾁 쏟아부어서 가득 찼는데 발리지는 않는다고??발수코팅이라도 야무지개 해버린거냐
ㅇㅇ •
물리법칙 적용 X라 가능한 거임
ㅇㅇ •
가브리엘 나팔이 주장하는 무한대 = 달팽이와 달리기시합임 ㅋㅋ 달팽이가 1cm갈때 우리도 1cm가면 달팽이는 0.1cm 가고 우리도 0.1cm 갈때 달팽이는 0.01cm 가고 우리도 0.01cm 가고 무한반복해서 결국 달팽이 못이긴다는 개소리와 동급 ㅋㅋ
ㅇㅇ •
ai어쩌고 ai만물설 댓글 달릴때가 됐는데
ㅇㅇ •
물리학자들은 이런거 보고 발기하냐?
ㅇㅇ •
4번같은게 있다곤 들었는데 뭔지 보고나니까 더 어렵네이런 인간의 지성을 비웃는듯한 이상한 사례들 보면 뭔가 기괴하게 느껴지고 문득 무서워지더라
ㅇㅇ •
영상으로 만들면 잠 잘 올듯. 3대 수면학문 고고학, 천문학, 수학
ㅇㅇ •
이거 대학교 2학년 공업수학에서 다 배우는 기본소양인데 신기하고 나발이고 이걸 왜 여기다 올리냐 고졸애들 신기해하는거 보려고?
11 •
무한대 <<<< 개념자체가 걍 장난질임저런거 나중가서 다 약분시켜서 안보이게 뭉개버림왜? 0으로 나누면 안된다무한대에 2곱해도 3곱한 무한대랑 똑같다이런게 다 개소리니까ㅇㅇ
ㅇㅇ •
axiom of chioice 처음 볼때 ㄹㅇ 이해 하나도 안됐었는데
ㅇㅇ •
걍 이해못하면 넘겨 정제된거지만 옛날에는 학자들만 보던거니.
ㅇㅇ •
머리아프니깐 이런글 올리지마라 비추누름 글고 꿈에 숫자 나오면 나 토하니깐 올리지마 나 토할거같아 수학보면
ㅇㅇ •
댓글 버튼 같은거 생각해서 밑에 공간 좀 띄우자수식이 하나도 안보이잖아 시발(물론 읽지는 않았읍니다)
ㅇㅇ •
1번은 아무리 작은 수 라도 무한대로 모이면 결국 무한이 되는게 당연한거 아닌가
ㅇㅇ •
꼭 그런 건 아니고 제곱수의 역수정도로 작아지는 정도가 빠르면 수렴한다고 나와있잖음
ㅇㅇ •
'증명은 어렵지 않지만 글이 길어지므로 생략하겠다.' <~~ 이 말 써보고 싶어서 글쓴거임 백퍼 ㄹㅇ ㅋㅋㅋㅋㅋ
둥실 •
선택공리는 VERITASIUM 유튜브 영상중에 선택공리 보면 진짜 재밌고 이해하기 쉽게 풀어내줌그채널 유튜버 진짜 소재선정 기가막힘 ㅋㅋㅋ인류 학술사중에 제일 재밌는 부분만 골라서 영상 만드는 인간같음 ㅋ
디시 •
숫자로 끄적끄적 하는게 인생에 도움이 돼? 에이긍ㅉ
ㅇㅇ •
댓글작성